Coincidentally, at about the same time as I wrote about column buckling for a column with a point load on the end, Autar Kaw at The Numerical Methods Guy was writing about buckling of columns under self weight, using the theory of Stephen Timoshenko.
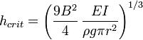
The maximum height of a cylindrical column that will stand under its own self weight is given by:
Where B2 is a constant equal to 3.483265528 and ρgpr2 is the weight of the column per unit length.
The critical height can also be found numerically by analysing the curvature of the column using the Runge-Kutta method to find the length of the column for which the change of curvature over the total height, due to deflection under self weight, is equal to the curvature at the base. That is, the curvature at the top of the column reduces to zero. The VBA function to perform this calculation (in combination with the AlgLib Runge Kutta routines) is shown below:
Function ODEFunc5(X As Double, Y As Variant, CoeffA As Variant) As Variant Dim ResA(0 To 2) As Double ResA(0) = Y(1) ' slope ResA(1) = Y(2) ' curvature ResA(2) = -CoeffA(1, 1) * Y(1) * CoeffA(1, 2) * (CoeffA(1, 3) - X) ' weight x slope ODEFunc5 = ResA End Function
This routine has been added to the spreadsheet ODESolver-Buckle.xls, which is available for free download, including full open source code.
The results of the analysis are shown in the screen shots below. Note that the Runge-Kutta analysis has given exactly the same critical length as the Timoshenko equation.
Click on any image for a full size view:




Pingback: Daily Download 28: Science (and using ODE solvers) | Newton Excel Bach, not (just) an Excel Blog