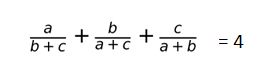
A seemingly simple problem was posted in my Quora feed:
or to put it more mathematically, what three positive integers satisfy the equation:

It turns out the answer is not so simple. A full and detailed derivation can be found at:
Checking the results is not so simple either. The values have up to 80 digits, which is way beyond the standard precision available in Excel, but using the Python mpmath library, with the EvalU spreadsheet, it can be done. Enter the three values as text (or copy and paste!), enter the formula, set the number of significant figures to 85 or more, and use the mp_Eval function:

Changing the last digit of one of the values confirms that the evaluation is working to the required precision:

The spreadsheet can be downloaded from:
For more details see: Pint MPmath and implied units
Pingback: More long numbers with Python | Newton Excel Bach, not (just) an Excel Blog